据新能源圈了解到,2024年6月13日,工信部发布关于《道路机动车辆生产企业及产品公告》(第384批)和《享受车船税减免优惠的节约能源 使用新能源汽车车型目录》(第六十三批)拟发布内容的公示。
据悉,工信部第384批《道路机动车辆生产企业及产品公告》公示的新产品中,包括有15户企业23个型号12家燃料电池配套商。值得一提的是,在12家配套企业当中,未势能源、重塑能源、锋源氢能和亿华通分别以3款的配套数量并列第一,北京卡文、国鸿氢能和锐唯新能源分别以2款的数量并列第二。
全文如下:
根据道路机动车辆生产企业及产品准入管理和《财政部 税务总局 工业和信息化部 交通运输部关于节能 新能源车船享受车船税优惠政策的通知》(财税〔2018〕74号)、《工业和信息化部 财政部 税务总局关于调整享受车船税优惠的节能 新能源汽车产品技术要求的公告》(2022年第2号)等有关要求,现将《道路机动车辆生产企业及产品公告》(第384批)和《享受车船税减免优惠的节约能源 使用新能源汽车车型目录》(第六十三批)拟发布内容予以公示,请社会各界监督,如有异议,请在公示期内以传真、电子邮件形式或通过网上意见征求系统反馈。
本批申请新产品准入的车辆生产企业共计707户,其中汽车生产企业522户、摩托车生产企业185户。以上企业申报的新产品共计2391个,其中汽车产品1815个、摩托车产品576个。申报新能源汽车产品的共有210户企业的607个型号,其中纯电动产品共163户企业527个型号、插电式混合动力产品共32户企业57个型号、燃料电池产品共15户企业23个型号。
本批申请产品变更扩展的车辆生产企业共计970户,其中汽车生产企业767户、摩托车生产企业200户、三轮汽车生产企业3户。以上企业申报的变更扩展产品共计9232个,其中汽车产品8298个、摩托车产品884个、三轮汽车产品50个。本批有10户汽车生产企业的15个汽车产品申请整改。
附件:
1.《道路机动车辆生产企业及产品公告》(第384批)拟发布的新准入车辆生产企业及已准入企业变更信息清单.doc
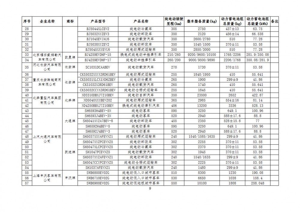
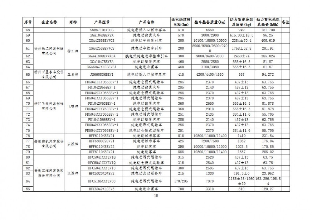
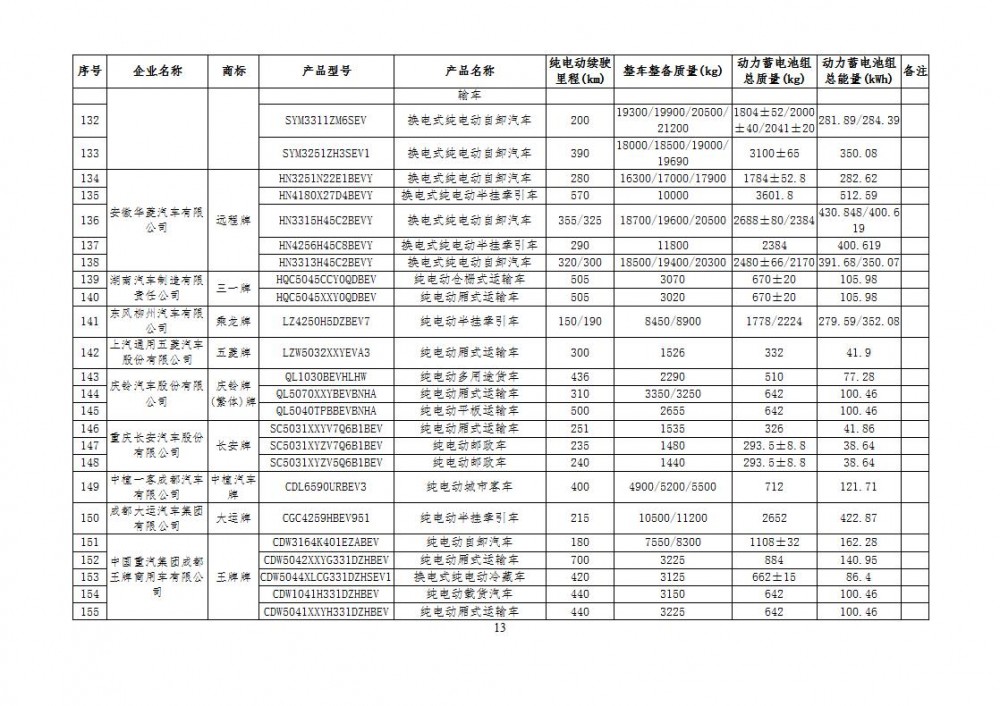
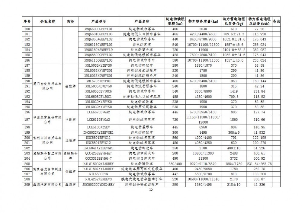
2.申报《道路机动车辆生产企业及产品公告》(第384批)的车辆新产品公示清单
3.申报《道路机动车辆生产企业及产品公告》(第384批)的车辆变更扩展产品公示清单
4.《享受车船税减免优惠的节约能源 使用新能源汽车车型目录》(第六十三批)拟发布的车型清单.doc
公示时间:2024年6月14日—2024年6月20日
传 真:010-66013726
电子邮件:qiche@miit.gov.cn
工业和信息化部装备工业一司
2024年6月13日



































2024-05-01